FOREWORD [AIR BAG SYSTEM]
If there is any vehicle malfunction complaint lodged by a customer, perform malfunction diagnosis according to the troubleshooting procedure.
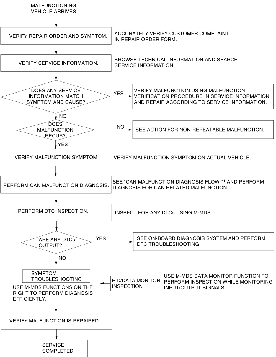
Troubleshooting Procedure
Action for non-repeatable malfunction
If the malfunction does not recur, verify the malfunction cause by performing the following actions:
Verify that a DTC has been recorded in the memory.
Based on the repair order form, attempt to drive the vehicle or perform tests to replicate the malfunction, record the data (such as CAN circuit voltage) at that time, and detect the malfunction cause.
Refer to [Determining Open Circuit Location] based on the recorded DTC, shake the wiring harness or connector of the electrical component which is suspected to be the cause of the malfunction, and inspect for any changes in CAN system voltage or occurrence of any DTCs.
Inspect the female terminals on the connector of the electric component which is suspected to be the cause of the malfunction for poor connection.
Outline
< Previous Next >
The OBD (on-board diagnostic) system has the following functions:
Malfunction detection function: Detects malfunctions in the air bag system and outputs DTCs (Diagnostic Trouble Codes).
PID/data monitor function: Reads out specific input/output signals and the system status.
DTCs can be read/cleared using the M-MDS.
NOTE:
Use the M-MDS to verify DTCs because the DTCs displayed by the air bag system warning light are reference information only.


