< Previous
Next >
WOOFER INSPECTION
1. Disconnect the negative battery cable. (See NEGATIVE BATTERY CABLE DISCONNECTION/CONNECTION.)
2. Remove the following parts:a. Scuff plate (passenger's side) (See SCUFF PLATE REMOVAL/INSTALLATION.)b. Front side trim (passenger's side) (See FRONT SIDE TRIM REMOVAL/INSTALLATION.)c. A-pillar trim (passenger's side) (See A-PILLAR TRIM REMOVAL/INSTALLATION.)d. Passenger-side lower panel (See PASSENGER-SIDE LOWER PANEL REMOVAL/INSTALLATION.)e. Selector lever knob (AT) (See AUTOMATIC TRANSMISSION SHIFT MECHANISM REMOVAL/INSTALLATION.)f. Shift lever knob (MT)g. Shift panel component (See SHIFT PANEL REMOVAL/INSTALLATION.)h. Upper panel (See UPPER PANEL REMOVAL/INSTALLATION.)i. Parking brake lever boot panel (See PARKING BRAKE LEVER BOOT PANEL REMOVAL/INSTALLATION.)j. Rear console (See REAR CONSOLE REMOVAL/INSTALLATION.)k. Front console panel (See FRONT CONSOLE PANEL REMOVAL/INSTALLATION.)l. Front console component (See FRONT CONSOLE REMOVAL/INSTALLATION.)m. Front cup holder bracket (See FRONT CUP HOLDER BRACKET REMOVAL/INSTALLATION.)n. Foot support (See FOOT SUPPORT REMOVAL/INSTALLATION.)
3. Disconnect the woofer connector. (See WOOFER REMOVAL/INSTALLATION.)
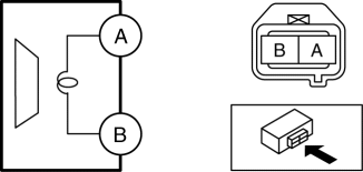
4. Inspect the resistance between woofer terminals A and B.< Previous Next >Woofer resistance
Approx. 1 ohm
If not within the specification, replace the woofer. (See WOOFER REMOVAL/INSTALLATION.)
